news | March 03, 2026

Limit function - How To Discuss

Limit function,

Definition of Limit function:

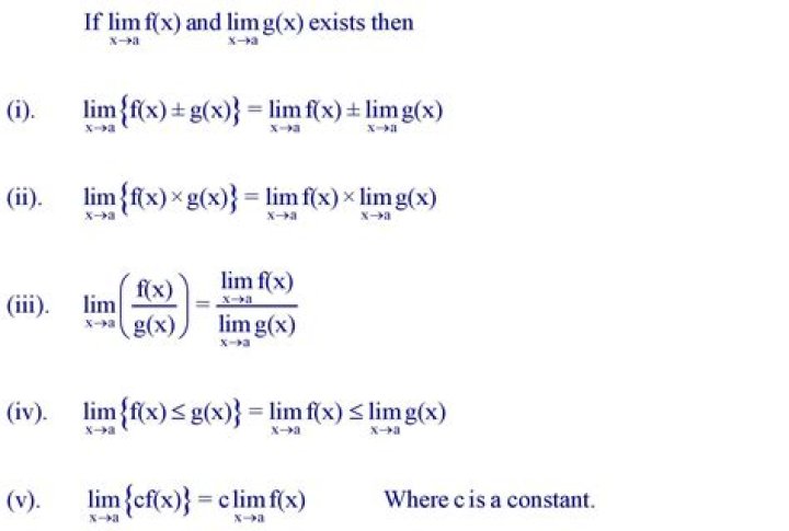
  1. A continuous mathematical function for which a solution can be found by determining the behavior of the function arbitrarily near a specified input. A limit function can be used to derive usable output from functions that extend to infinity, contain discontinuities, or are otherwise difficult to solve for specific values.

Meaning of Limit function & Limit function Definition